
DOI:10.1016/j.seppur.2026.136891
全文概述
本文系统研究了利用快速焦耳加热(FJH)技术实现铝电解废碳阴极(SCC)中碳与氟化物的闪蒸分离机制。研究揭示了样品加热容器(SHC)几何结构对分离效率的关键影响,发现管状SHC因其能有效促进挥发物逸出并作为物理过滤器防止碳颗粒夹带,表现出最优分离性能。在最优条件下(4次FJH循环、75%填充率、500A电流),可获得纯度达96.0%的碳基材料。文中还结合热力学分析与多尺度表征手段,阐明了氟化物的闪蒸挥发与难熔氧化物的碳热还原两大分离机制,为复杂多组分固废的资源化回收提供了新思路。
文章亮点
(1)结构突破:首次揭示SHC结构对FJH分离效果的决定性作用,管状侧向开孔设计兼具挥发物逃逸通道与碳颗粒过滤功能,解决碳夹带难题。
(2)高效快速:单循环处理仅需数秒,相比传统焙烧、真空蒸馏等方法,效率提升数个数量级,且无需化学添加剂。
(3)双重机制:阐明闪蒸蒸发与碳热还原协同作用的分离原理,实现氟化物与难熔氧化物的同步高效去除。
(4)高值回收:最优条件下碳基体纯度达96.0%,且石墨化程度提升、缺陷密度降低,为废碳阴极高值化利用奠定基础。
图文解析
1、焦耳热(FJH)分离系统
比较了五种不同结构的SHC对分离效率的影响,管状(#1)、不同尺寸样品槽(#2、#3)、带微孔盖板的样品槽(#4)、石墨纸折叠式(#5),结构差异直接影响加热速率与分离行为。
2、不同SHC的FJH处理结果及分离效率
图中展示了使用不同SHC进行FJH处理后的实验现象。管状SHC(#1)处理后,大量白色物质(主要为NaF)附着在收集板上,而其他结构SHC处理后,既有白色物质也有黑色物质释放,表明存在碳颗粒夹带现象。实验结果显示,使用#1 SHC后,基材碳含量从63.6%提升至87.7%,且挥发物中碳含量极低(0.4%),实现了高选择性分离。
3、FJH最佳工艺参数
展示了不同FJH循环次数、样品填充比例和预设电流条件下的底物碳含量。随着FJH循环次数增加,底物碳含量逐渐提高;在75%填充比例和500A预设电流条件下,底物碳含量达到最优(96.0%)。原始样品为粉末状,1次循环后烧结为柱状结构(电解质熔融粘结碳颗粒),2次循环后逐渐松散,8次循环后恢复粉末状(电解质完全分离)。
4、表征及分离机制验证
图(a)XRD结果显示,随循环次数增加,NaF、Al₂O₃衍射峰逐渐消失,8次循环后仅残留CaF₂,证实主要杂质去除效果。图(b)拉曼ID/IG比值从0.44降至0.18,表明石墨化程度提升、缺陷密度降低。
SEM-EDS表面扫描图像结果显示,原始SCC中C、O、F、Na、Al均匀分布;8次循环后O、F、Na、Al含量显著降低,Si、Ca分布无明显变化。直观呈现元素分布变化,证实主要杂质的高效去除及 Si、Ca的存留特性。
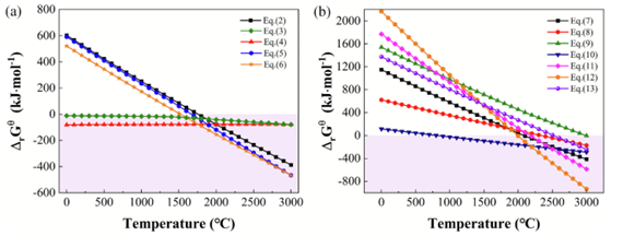
SCC组分饱和蒸气压曲线结果显示,蒸气压顺序为AlF₃<Na₃AlF₆<NaF<SiO₂<CaF₂<Al₂O₃,NaF、Na₃AlF₆在1600℃以下即可蒸馏,而CaF₂、Al₂O₃蒸气压低,难以直接闪蒸分离。为分离机制提供热力学依据,解释了氟化物闪蒸与氧化物需碳热还原的差异。
SiO₂与Al₂O₃碳热还原的ΔG-T曲线显示,图(a)SiO₂结果显示1522℃以上可通过多路径还原生成Si或SiC,热力学上优先转化为SiC。图(b)Al₂O₃结果显示,2000℃以上还原生成Al、AlO等气态产物,为氧化物去除提供理论支撑。
总结与展望
本文通过系统研究FJH技术在铝电解废碳阴极资源化回收中的应用,揭示了SHC几何结构对分离效率的关键影响,并优化了处理参数以实现高效分离。研究不仅为复杂多组分固体废物的FJH处理提供了新见解,还展示了该技术在环保与经济效益方面的显著优势。未来工作可进一步探索SHC内瞬态压力动力学和流体动力学的定量分析,以及FJH技术在其他危险废物回收中的应用潜力。
通讯作者简介
陈昱冉,郑州大学直聘副教授,硕士生导师。2020年6月博士毕业于中国矿业大学,2020年7月入职郑州大学。主持或参与国家自然科学基金2项,省部级及市厅级基金6项。研究方向:1)铝工业固废处理及资源化利用;2)超声波基础理论及超声团聚研究;3)微细矿物浮选工艺及设备。担任《Seperation》期刊特刊编辑,担任期刊《Frontiers in Chemistry》评审编辑,在国内外学术期刊发表学术论文44篇,其中第一或通讯作者论文21篇,授权发明专利8项。
孔亚鹏,郑州大学直聘研究员,博士生导师。2020年6月博士毕业于东北大学,2023年12月入职郑州大学。围绕稀有金属熔盐电化学冶金、绿色铝冶金新技术、工业固废资源化处理等方向,以第一作者/通讯作者发表论文十余篇;主持或参与国家自然科学青年基金、河南省重大科技专项、郑州市协同创新重大科技专项等项目,形成的技术成果铝电解槽双端节能理论研究与关键技术开发”获中国有色金属工业科学技术一等奖,参与的“半熔态铜铝铸轧复合关键成形技术及产业化”项目成果获2024年度中国产学研合作科技创新成果奖。
本文使用的焦耳加热装置是由合肥原位科技有限公司研发,感谢老师支持与认可!
焦耳加热装置
焦耳加热装置是一种新型快速热处理/合成的设备,该设备可使材料在极短(毫秒级/秒级)时间内达到极高的温度(1000~3000℃),升温速率最快可达到10000k/s;通过对材料的极速升温,可考察材料在极端环境、剧烈热震情况下的物性改变,可通过极速升降温制备纳米尺度颗粒,单原子催化剂,高熵合金等。目前广泛应用在电池材料、催化剂、碳材料、陶瓷材料、金属材料、塑料降解、生物质等领域。
